Sometime in 1970, Kurt Gödel’s mathematical proof of the existence of God began to circulate among his colleagues. The proof was less than a page long and caused quite a stir:
Gödel’s Mathematical Proof of God’s Existence
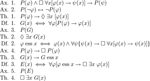
| Axiom 1. | (Dichotomy) A property is positive if and only if its negation is negative. |
| Axiom 2. | (Closure) A property is positive if it necessarily contains a positive property. |
| Theorem 1. | A positive property is logically consistent (i.e., possibly it has some instance). |
| Definition. | Something is Godlike if and only if it possesses all positive properties. |
| Axiom 3. | Being Godlike is a positive property. |
| Axiom 4. | Being a positive property is (logical, hence) necessary. |
| Definition. | A property P is the essence of x if and only if x has P and P is necessarily minimal. |
| Theorem 2. | If x is Godlike, then being Godlike is the essence of x. |
| Definition. | NE(x): x necessarily exists if it has an essential property. |
| Axiom 5. | Being NE is Godlike. |
| Theorem 3. | Necessarily there is some x such that x is Godlike. |
I obtained this proof from Hao Wang, Reflections on Kurt Gödel (Cambridge, Mass.: MIT Press, 1987), page 195. How shall we judge such an abstract proof? How many people on Earth can really understand it? Is the proof a result of profound contemplation or the raving of a lunatic? Recall that Gödel’s academic credits were impressive. For example, he was a respected mathematician and a member of the faculty of the University of Vienna starting in 1930. He emigrated to the United States in 1940 and became a member of the Institute of Advanced Study in Princeton, New Jersey.
(Clifford A. Pickover, A passion for mathematics: numbers, puzzles, madness, religion, and the quest for reality, John Wiley & Sons, 2005, p. 285-286)

Leave a comment